Karakteristik Pemerintahan Indonesia Setelah Perubahan Uud 1945

May 05, 2021

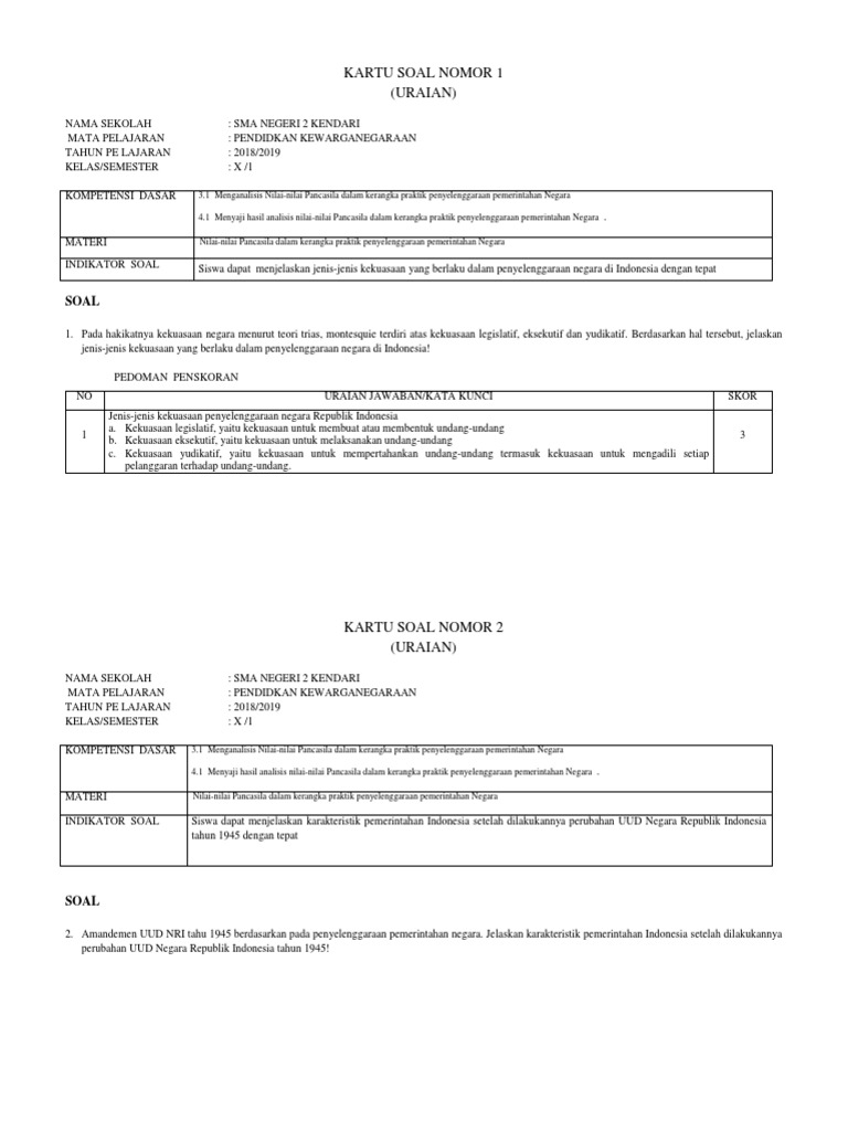
jelaskan karakteristik pemerintah Indonesia setelah dilakukannya perubahan UUD Negara Republik - Brainly.co.id Jelaskan Karakteristik Pemerintahan Indonesia Setelah Amandeman UUD 1945 - Penulis Cilik jelaskan karakteristik pemerintahan indonesia setelah dilakukannya perubahan uud nri tahun 1945 - YouTube Jelaskan karakteristik pemerintahan Indonesia setelah dilakukannya perubahan UUD negara republik - Brainly.co.id Jelaskan karakteristik pemerintahan Indonesia setelah dilakukannya perubahan UUD Negara Republik Indonesia tahun 1945 ! - BasBahanAjar.com Sistem pemerintahan menurut uud 1945 setelah adanya perubahan Rpp 1 Pkn Kelas x Semester 1 Makalah Sistem Pemerintahan Indonesia Pkn fajar Kunci Jawaban Uji Kompetensi Bab 1 PPKN Kelas 10 - Panduan Pintar Sistem pemerintahan indonesia sebelum dan sesudah amandemen DINAMIKA PENGELOLAAN KEKUASAAN NEGARA - ppt download Gambaran umum sistem pemerintahan Indonesia Kunci Jawaban Uji Kompetensi Bab 1 PPKN Kelas 10 - Panduan Pintar Jelaskan Karakteristik pemerintahan Indonesia setelah dilakukannya perubahan UUD Negara Republik Indonesia tahun 1945 - Kumpulan Rpp Gratis Rpp ppkn kls x bab 1 sistem pembagian kekuasaan negara Sistem Pemerintahan Indonesia Halaman all - Kompasiana.com bantuin dong kak, terima kasih - Brainly.co.id Sistem Pemerintahan Indonesia Halaman all - Kompasiana.com Rpp ppkn kls x bab 1 sistem pembagian kekuasaan negara DOC) KARAKTERISTIK NKRI | JUNG AERA - Academia.edu Latihan Soal Kelas X Bab 1 jelaskan karakteristik pemerintahan indonesia setelah dilakukannya perubahan uud RI tahun 1945 - Brainly.co.id Jelaskan Karakteristik pemerintahan Indonesia setelah dilakukannya perubahan UUD Negara Republik Indonesia tahun 1945 - Kumpulan Rpp Gratis Sistem Pemerintahan Indonesia | Lulus Ujian Sistem Pemerintahan Indonesia | Lulus Ujian DINAMIKA PENGELOLAAN KEKUASAAN NEGARA - ppt download jelaskan karakteristik pemerintahan indonesia setelah dilakukannya perubahan uud RI tahun 1945 - Brainly.co.id Pengertian & Ciri Sistem Pemerintahan | Sistem Pemerintahan Indonesia DINAMIKA PENGELOLAAN KEKUASAAN NEGARA - ppt download KONSEP PEMERINTAHAN INDONESIA MENURUT UUD 1945 Daniel Susilo, Mohammad Roesli Universitas Merdeka Surabaya Email : dsshmhum@gmai PDF) Anomali Sistem Pemerintahan Presidensial Pasca Amandemen UUD 1945 Sistem Pemerintahan di Indonesia sejak Tahun 1945 hingga Amandemen Pasca Reformasi - Pojokwacana.com Pengertian Negara Kesatuan, Macam, Konsep, Bentuk & Karakteristik Pkn m.nasir Iqbal Pengertian Negara Kesatuan, Macam, Konsep, Bentuk & Karakteristik Dinamika Sistem Pemerintahan Indonesia Macam Macam Sistem Pemerintahan Indonesia dari 1945 - Sekarang KEKUASAAN MEMBENTUK UNDANG-UNDANG DALAM SISTEM PEMERINTAHAN PRESIDENSIAL SETELAH PERUBAHAN UNDANG-UNDANG DASAR 1945 PDF) Karakterisitik Konstitusional 8 Negara DINAMIKA PENGELOLAAN KEKUASAAN NEGARA - ppt download PENGARUH KARAKTERISTIK PEMERINTAH DAERAH, KEPALA DAERAH, TINDAK LANJUT TEMUAN AUDIT TERHADAP OPINI Sistem Ketatanegaraan Indonesia Pasca Amandemen | Pan Mohamad Faiz, S.H., M.C.L., Ph.D. PERAN MAHKAMAH KONSTITUSI DALAM MEWUJUDKAN NEGARA HUKUM YANG DEMOKRATIS1 H Erli Salia Fakultas Hukum Universitas 17 Agustus 1945 ANALISIS SISTEM PEMERINTAHAN DALAM UUD NEGARA REPUBLIK INDONESIA TAHUN 1945 PRA DAN PASCA PERUBAHAN, SERTA PELAKSANAANNYA DALAM BAB I PENDAHULUAN A. Latar Belakang Secara umum Negara dan konstitusi merupakan dua lembaga yang tidak dapat dipisahkan satu sam Jelaskan karakteristik pemerintah Indonesia setelah dilakukannya perubahan UUD RI 1945 - Brainly.co.id Rpp ppkn kls x bab 1 sistem pembagian kekuasaan negara RPP PPKn :::: SMAN 1 Mandrehe :::: Oleh: Notatema Gulo, S.Pd Kisi-kisi Soal Hots KARAKTERISTIK PENGAWASAN YANG DIMILIKI OLEH MAHKAMAH KONSTITUSI SEBAGAI LEMBAGA PENGAWAS UNDANG-UNDANG DI NEGARA REPUBLIK INDONE Macam Macam Sistem Pemerintahan Indonesia dari 1945 - Sekarang KAJIAN YURIDIS URGENSI AMANDEMEN KELIMA UNDANG-UNDANG DASAR 1945 DALAM SISTEM HUKUM KETATANEGARAAN INDONESIA Oleh Yoyon M. Pendidikan Pancasila dan Kewarganegaraan SMA/MA/SMK/MAK Kelas X - Kurikulum 2013 - Edisi revisi 2017 Pengertian Negara Kesatuan, Macam, Konsep, Bentuk & Karakteristik Jelaskan Jenis Jenis Kekuasaan Yang Berlaku Dalam Penyelenggaraan Negara Di Republik Indonesia TINJAUAN TERHADAP SISTEM MULTI PARTAI DALAM SISTEM PEMERINTAHAN PRESIDENSIAL DI INDONESIA PADA ERA REFORMASI Zuhdi Arman ABSTRAK DINAMIKA PENGELOLAAN KEKUASAAN NEGARA - ppt download GAGASAN RANCANGAN UNDANG-UNDANG LEMBAGA KEPRESIDENAN: CERMINAN PENEGASAN DAN PENGUATAN SISTEM PRESIDENSIIL INDONESIA jelaskan karakteristik pemerintahan indonesia setelah dilakukannya perubahan UUD Negara RI tahun - Brainly.co.id Buku PSP 5 Guru mengakhiri pembelajaran dengan mengucapkan rasa syukur kepada Allah SWT | Course Hero PDF) PROSES PERUBAHAN MENDASAR KONSTITUSI INDONESIA PRA DAN PASCA AMANDEMEN Sejarah Konstitusi Indonesia | Jakarta 45 Perkembangan Sistem Politik Indonesia Sebelum dan Setelah Amandemen Rencana Amandemen UUD 1945: Untuk Kepentingan Apa dan Siapa? - Tirto.ID 1 KAJIAN TERHADAP SISTEM PEMERINTAHAN DAN PRAKTEKNYA MENURUT UNDANG-UNDANG DASAR TAHUN 1945 Oleh : Rosdalina1 Abstrak Sistem pem Sistem Ketatanegaraan Indonesia Pasca Amandemen | Pan Mohamad Faiz, S.H., M.C.L., Ph.D. Struktur Kelembagaan Negara Sebelum dan Sesudah Amandemen, The institutional structure of Indonesia. | berbagaireviews.com PENGARUH KONFIGURASI POLITIK TERHADAP PRODUK HUKUM PADA MASA PEMERINTAHAN SOEHARTO DI INDONESIA Abstrct Soeharto government beco 5 Soal Essay PKN BAB 1 Kelas X - @NifaFani Pengaturan Pemberhentian Presiden dalam Masa Jabatan Menurut UUD 1945 Rpp ppkn kls x bab 1 sistem pembagian kekuasaan negara Modul Sistem Pemerintahan Dr. Ali Safaat-2 ok PDF) MATERI : SISTEM PEMBAGIAN KEKUASAAN NEGARA REPUBLIK INDONESIA | Iwan Setiawan - Academia.edu karakteristik pemerintahan Indonesia setelah dilakukannya perubahan UUD republik Indonesia - Brainly.co.id Amandemen UUD 1945 Tahun 2002: Sejarah Isi & Perubahan Keempat - Tirto.ID Macam Macam Sistem Pemerintahan Indonesia dari 1945 - Sekarang SEJARAH LEMBAGA-LEMBAGA NEGARA INDONESIA | FRISTIAN SHAMSAPÉÈL GRIEC HUMALANGGI’s weblog SISTEM PRESIDENSIAL DAN DINAMIKA HUBUNGAN EKSEKUTIF-LEGISLATIF Studi Perbandingan Sistem Pemerintahan di Indonesia di Era Refor Soal Cpns 2017 Dan Kunci Jawaban Pdf – Batik Foto DEMOKRASI, OTONOMI DAERAH DAN PEMERINTAHAN INDONESIA Untitled PENGISIAN JABATAN PRESIDEN DAN PRESIDENTIAL THRESHOLD DALAM DEMOKRASI KONSTITUSIONAL DI INDONESIA Kelas X PPKn BG Cover 2017 PENGARUH AMANDEMEN KEEMPAT UNDANG-UNDANG DASAR NEGARA REPUBLIK INDONESIA TAHUN 1945 TERHADAP PEMERINTAHAN DAERAH | Jurnal Magister Hukum Udayana (Udayana Master Law Journal) Untitled DINAMIKA PENGELOLAAN KEKUASAAN NEGARA - ppt download PENATAAN LEMBAGA NEGARA MANDIRI DALAM STRUKTUR KETATANEGARAAN INDONESIA Jelaskan Karakteristik Pemerintahan Indonesia Setelah Dilakukannya Perubahan Uud Karakteristik Demokrasi Periode Orde Baru Halaman all - Kompas.com Pembentukan Mahkamah Konstitusi Sebagai Pelaku Kekuasaan Kehakiman di Indonesia Struktur Kelembagaan Negara Sebelum dan Sesudah Amandemen, The institutional structure of Indonesia. | berbagaireviews.com Kementerian Pendayagunaan Aparatur Negara dan Reformasi Birokrasi - IMPLEMENTASI REFORMASI BIROKRASI MELALUI REVOLUSI MENTAL BIROKRASI SEBAGAI UPAYA MEMBENTUK PEMERINTAHAN BERKELAS DUNIA Sistem Pemerintahan Indonesia dari Masa ke Masa (1945-sekarang) KEDUDUKAN KEDAULATAN RAKYAT DALAM PEMILIHAN DAN PEMBERHENTIAN PRESIDEN PASCA AMANDEMEN UUD 1945 SKRIPSI Oleh: SARI ELSYE PRIYANT PDF) PRINSIP CHECKS AND BALANCES DALAM SISTEM KETATANEGARAAN INDONESIA PERAN KOMUNIKASI ORGANISASI PEMERINTAHAN DESA DALAM PENINGKATAN KINERJA PEMERINTAHAN DESA DI KECAMATAN COT GIREK , ACEH UTARA Sistem Pemerintahan Indonesia | Lulus Ujian SISTEM PRESIDENSIAL DAN DINAMIKA HUBUNGAN EKSEKUTIF-LEGISLATIF Studi Perbandingan Sistem Pemerintahan di Indonesia di Era Refor

Perubahan Zaman

Perubahan Organisasi Adalah