Luas Kain Yang Diperlukan Untuk Membuat Topi Tersebut Adalah

May 05, 2021

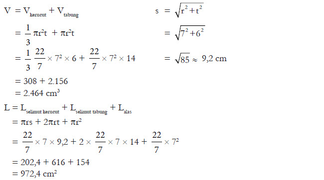
Ayah membuat topi dari kain dengan bentuk seperti gambar. Luas kain yang diperlukan untuk membuat - Brainly.co.id Luas kain yang diperlukan untuk membuat topi Tolong cepat yaaaa dapet 20 poin - Brainly.co.id luas kain yg diperlukan untuk membuat topi tersebut adalah… - Brainly.co.id luas kain yang di perlukan untuk membuat topi tersebut adalah - Brainly.co.id luas kertas karton minimal yang diperlukan untuk membuat topi tersebut adalah… - Brainly.co.id Perhatikan gambar berikut.Luas kain yang diperlukanuntuk membuat topi tersebutadalah …A. 1012 - Brainly.co.id Soal dan Pembahasan UNBK SMP 2019 [Matematika] No. 31 - 35 - ePanrita.com 33. Pengrajin membuat topi dari karton dengan bentukseperti tampak pada gambar.26 cm20 cm30 cmLuas - Brainly.co.id pliss kak bantuin saya kerjain soal ini kak kumohon kak buat pr besok Senin kak kumohon kak bantuin - Brainly.co.id luas kertas karton minimal yang diperlukan untuk membuat topi adalah beserta caranya - Brainly.co.id 33. Soal Cerita Luas Permukaan BRSL (Luas Karton Untuk Membuat Topi) | Matematika UN SMP 2019 - YouTube Pembahasan Soal Luas Topi Bentuk Kerucut Dengan Pinggiran Lingkaran - YouTube BaksoMath: Pembahasan UNBK Matematika SMP 2019 No. 31-40 Pak eko ingin membuat topi ulang tahun dari kain wol yang berbentuk krucut dengan diameter 14cm dan - Brainly.co.id gambar tersebut menunjukkan sebuah topi yang terbuat Dari karton yang dibentuk Dari gabungan tabung - Brainly.co.id bahan yang diperlukan untuk membuat topi tersebut adalah - Brainly.co.id tolong bantuannya luas kertas karton minimal yang diperlukan untuk membuat topi tersebut adalahA. - Brainly.co.id Luas karton minimal yang diperlukan untuk membuat topi tersebut adalah? - Brainly.co.id Luas Karton Minimal Yang Diperlukan Untuk Membuat Topi Tersebut Adalah - Sebutkan Itu Luas Karton Minimal Yang Diperlukan Untuk Membuat Topi Tersebut Adalah - Sebutkan Itu Ayah Membuat Topi Dari Kain Dengan Bentuk Seperti Tampak Pada Gambar – retorika PAS Matematika 6B.docx Cara Membuat Topi Peter Pan: 15 Langkah (dengan Gambar) - wikiHow Thedarlingbakers: Luas Kertas Karton Minimal Yang Diperlukan Untuk Membuat Topi Tersebut Cara Membuat Topi Peter Pan: 15 Langkah (dengan Gambar) - wikiHow Cara Membuat Topi Peter Pan: 15 Langkah (dengan Gambar) - wikiHow pak eko ingin membuat topi ulang tahun dari kain wol yang berbentuk kerucut dengan diameter 14 cm - Brainly.co.id Math | Mathematics Quiz - Quizizz Thedarlingbakers: Luas Kertas Karton Yang Diperlukan Untuk Membuat Topi Tersebut Adalah Cara Membuat Topi Peter Pan: 15 Langkah (dengan Gambar) - wikiHow Soal Ujian Final Soal dan Pembahasan UNBK SMP 2019 [Matematika] No. 31 - 35 - ePanrita.com Luas Karton Minimal Yang Diperlukan Untuk Membuat Topi Tersebut Adalah - Sebutkan Itu March 2020 | Mikirbae.com Luas Permukaan Bangun Ruang Kelas VI SD | Mikirbae.com Luas Karton Minimal Yang Diperlukan Untuk Membuat Topi Tersebut Adalah - Sebutkan Itu Soal Latihan Materi Bangun Ruang Kelas VI | Mikirbae.com Bab 2 Bangun Ruang Sisi Lengkung Try Out UN MATEMATIKA SMP tipe B Luas Karton Minimal Yang Diperlukan Untuk Membuat Topi Tersebut Adalah - Sebutkan Itu Luas Permukaan Bangun Ruang Kelas VI SD | Mikirbae.com PAT Matematika 6 2018-2019 Pembahasan Soal UNBK SMP 2019 [Matematika] - CATATAN MATEMATIKA Cara Membuat Topi Peter Pan: 15 Langkah (dengan Gambar) - wikiHow Ayah Membuat Topi Dari Kain Dengan Bentuk Seperti Tampak Pada Gambar – retorika PAT Matematika 6 2018-2019 soal PAS/UAS matematika kelas 6 semester 2 dan kunci jawaban + Pembahasan - Info Pendidikan Terbaru Soal dan Pembahasan UNBK SMP 2019 [Matematika] No. 31 - 35 - ePanrita.com BANGUN RUANG SISI LENGKUNG (G) | Mathematics Quiz - Quizizz March 2020 | Mikirbae.com Download (7MB) Tutorial Cara Membuat Topi Pancing Atau Bucket Hat Pembahasan Soal UNBK SMP 2019 [Matematika] - CATATAN MATEMATIKA Download (7MB) Try Out UN MATEMATIKA SMP tipe B Pak Eko ingin membuat topi ulang tahun dari kain wol yang berbentuk kerucut dengan diameter 14 cm - Brainly.co.id Luas Karton Minimal Yang Diperlukan Untuk Membuat Topi Tersebut Adalah - Sebutkan Itu 40 Soal dan Pembahasan UNBK Matematika SMP Tahun 2019 (*Simulasi UNBK 2021) | defantri.com best top 10 topi balap brands and get free shipping - e22ahc54 Modal 5 Ribu Bisa Membuat Masker Kain Cegah Covid-19, Mirip Masker Scuba - Semua Halaman - Grid Health Tutorial Cara Membuat Topi Pancing Atau Bucket Hat Ayah Membuat Topi Dari Kain Dengan Bentuk Seperti Tampak Pada Gambar – retorika Luas Permukaan Bangun Ruang Kelas VI SD | Mikirbae.com 32. Ayah membuat topi dari kain dengan bentuk seperti gambar.Luas kain yang diperlukan untuk membuat topi tersebut adalah.a. 1.695,6 luas kertas karton minimal yang diperlukan untuk membuat topi tersebut adalah… - Brainly.co.id Cara Membuat Topi Kerucut (dengan Gambar) - wikiHow Berapakah luas kain yang diperlukan untuk membuat topi tersebut?mohon bantuannya kak disertai dengan cara :) March 2020 | Mikirbae.com Luas Karton Minimal Yang Diperlukan Untuk Membuat Topi Tersebut Adalah - Sebutkan Itu top 10 largest kain katun rayon ideas and get free shipping - j4j7j7e1 Soal dan Pembahasan UNBK SMP 2019 [Matematika] No. 31 - 35 - ePanrita.com Luas Permukaan Volume Bangun Prisma Tabung Limas Kerucut Bola Soal UAS Matematika Kelas 6 Semester 2 Kurikulum 2013 Revisi 2020 | sch. paperplane Luas kertas karton untuk membuat topi ulang tahun berbentuk kerucut diameter 20cm, dan tinggi 30cm - YouTube ULANGAN MATEMATIKA KELAS 6 | Mathematics Quiz - Quizizz best top 10 topi balap brands and get free shipping - e22ahc54 Luas Karton Minimal Yang Diperlukan Untuk Membuat Topi Tersebut Adalah - Sebutkan Itu Tutorial Cara Membuat Topi Pancing Atau Bucket Hat Luas Permukaan Bangun Ruang Kelas VI SD | Mikirbae.com March 2020 | Mikirbae.com PDF) Perangkat pembelajaran bangun ruang dengan pendekatan kontekstual untk mengembangkan karakter siswa SMP | Rahmatya Dina - Academia.edu Try Out UN MATEMATIKA SMP tipe B Tutorial Cara Membuat Topi Pancing Atau Bucket Hat soal PAS/UAS matematika kelas 6 semester 2 dan kunci jawaban + Pembahasan - Info Pendidikan Terbaru Thedarlingbakers: Luas Kertas Karton Yang Diperlukan Untuk Membuat Topi Tersebut Adalah March 2020 | Mikirbae.com Ayah Membuat Topi Dari Kain Dengan Bentuk Seperti Tampak Pada Gambar – retorika soal PAS/UAS matematika kelas 6 semester 2 dan kunci jawaban + Pembahasan - Info Pendidikan Terbaru Thedarlingbakers: Luas Kertas Karton Minimal Yang Diperlukan Untuk Membuat Topi Tersebut Luas Permukaan Volume Bangun Prisma Tabung Limas Kerucut Bola Luas Permukaan Bangun Ruang Kelas VI SD | Mikirbae.com 1-modul (1) top 10 largest kain katun rayon ideas and get free shipping - j4j7j7e1 Cara Membuat Tas dari Kain Flanel dengan Teknik Sederhana - Citizen6 Liputan6.com Download (7MB) Ayah Membuat Topi Dari Kain Dengan Bentuk Seperti Tampak Pada Gambar – retorika March 2020 | Mikirbae.com Cara Membuat Topi Kerucut (dengan Gambar) - wikiHow Ayah membuat topi dari kain dengan bentuk seperti gambar. Luas kain yang diperlukan untuk membuat - Brainly.co.id Try Out USBN Matematika TP 2019 - 2020 Quiz - Quizizz

Bunga Mawar Dr Kain Flanel

Masker Kain Rider