Perubahan Lingkungan Dan Dampaknya Bagi Kehidupan

May 05, 2021

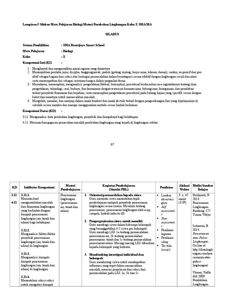
Skl 6. perubahan lingkungan dan dampaknya Skl 6. perubahan lingkungan dan dampaknya Skl 6. perubahan lingkungan dan dampaknya Skl 6. perubahan lingkungan dan dampaknya Skl 6. perubahan lingkungan dan dampaknya Skl 6. perubahan lingkungan dan dampaknya Skl 6. perubahan lingkungan dan dampaknya Penyebab dan Dampak Perubahan Lingkungan Mengapa Banyak Orang Tak Percaya Perubahan Lingkungan? - Tirto.ID Perubahan Lingkungan dan Sebabnya - Pahamify | Belajar Jadi Seru! Dampak Perubahan Lingkungan Dunia Terhadap Ekosistem dan Kepunahan … Skl 6. perubahan lingkungan dan dampaknya Dampak Perubahan Iklim dan Pemanasan Global | LingkunganHidup.co BAB 9 Pencemaran Lingkungan dan Dampaknya bagi Kehidupan | Science … Skl 6. perubahan lingkungan dan dampaknya Panasnya Iklim Politik Menghanguskan Issue Perubahan Iklim … Dampak Perubahan Lingkungan yang Disebabkan oleh Manusia terhadap … Dampak Pemanasan Global Bagi Kehidupan Manusia dan Lingkungan … Pencemaran Udara. Kompetensi Dasar Menganalisis data perubahan … Skl 6. perubahan lingkungan dan dampaknya 16 Dampak Tanah Longsor Terhadap Lingkungan dan Masyarakat … RPP Dampak Perubahan Lingkungan terhadap Kehidupan REVISI_7_Lampiran 5 _Silabus Materi Perubahan Lingkungan … Pengertian Lingkungan Menurut Para Ahli Dan Jenisnya Lengkap Materi Pembelajaran IPA Kelas 5 Semester 2 Tentang Dampak … Dampak Pencemaran Lingkungan Hidup Terhadap Kehidupan - Lingkungan … Perubahan Lingkungan dan Dampak Perubahan Lingkungan RPP 3.11 Perubahan Lingkungan - Faculty of Agriculture - StuDocu perubahan lingkungan dan dampaknya bagi kehidupan Archives … Dampak Perubahan Lingkungan yang Disebabkan oleh Manusia terhadap … Faktor-Faktor Yang Menyebabkan Kerusakan Lingkungan Hidup - DLH … Pencemaran Udara. Kompetensi Dasar Menganalisis data perubahan … Perubahan Lingkungan dan Pengolahan Limbah Cermati gambar berikut! Perubahan lingkungan mengakibatkan … PDF) DAMPAK PERUBAHAN LINGKUNGAN TERHADAP PERKEMBANGAN AKTIVITAS … Mengapa Banyak Orang Tak Percaya Perubahan Lingkungan? - Tirto.ID PERUBAHAN DAN PELESTARIAN LINGKUNGAN HIDUP - ppt download kerusakan lingkungan biogeofisik Perubahan Lingkungan dan Dampaknya Bagi Lingkungan || Biologi … Pencemaran Lingkungan Pencemaran Lingkungan - Pengertian, Penyebab, Macam, Dampak, dll Bioteknologi Upaya Menghadapi Kerusakan Lingkungan Hidup Halaman 1 … Pencemaran Tanah: Dampak dan Solusi Halaman all - Kompas.com BIOLOGI - perubahan lingkungan dan dampaknya bagi kehidupan - YouTube Pencemaran Udara. Kompetensi Dasar Menganalisis data perubahan … Skl 6. perubahan lingkungan dan dampaknya Cermati gambar berikut! Perubahan lingkungan mengakibatkan … Dampak Perubahan Lingkungan Yang Disebabkan Oleh Insan Terhadap … Dampak Perubahan Lingkungan yang Disebabkan oleh Manusia terhadap … Pencemaran Lingkungan: Macam, Penyebabnya, dan Dampaknya Halaman … Masalah Lingkungan Hidup di Indonesia dan Dunia Saat Ini … Skl 6. perubahan lingkungan dan dampaknya UKBM AIR PENCEMARAN LINGKUNGAN - ppt download MASALAH LINGKUNGAN HIDUP DI INDONESIA DAN DUNIA SAAT INI Rpp perubahan lingkungan welly Perubahan Lingkungan Berkorelasi dengan Munculnya Penyakit Dampak Pencemaran Lingkungan Hidup Terhadap Kehidupan - Lingkungan … Perilaku Manusia Yang Menyebabkan Perubahan Tatanan Lingkungan Dan … Skl 6. perubahan lingkungan dan dampaknya DAMPAK KERUSAKAN LINGKUNGAN BAGI MAKHLUK HIDUP Pencemaran Air: Pengertian, Penyebab, Dampak, Pencegahan Halaman … Dampak Kerusakan Lingkungan Halaman all - Kompasiana.com Contoh Pencemaran Air Beserta Dampak dan Cara Menanggulangi Dampak industri terhadap lingkungan Dampak Perubahan Lingkungan yang Disebabkan oleh Manusia terhadap … Dampak Pandemi Virus Corona pada Lingkungan, Polusi Udara Global … TUGAS AKHIR LKPD Mengenal Perubahan Iklim, Faktor, dan Dampaknya | Indonesia Baik Knowledge Centre Perubahan Iklim - Dampak & Fenomena 80+ Soal Pencemaran Lingkungan Pilihan Ganda [+Kunci Jawaban] Pencemaran Udara. Kompetensi Dasar Menganalisis data perubahan … UKBM PERUBAHAN LINGKUNGAN Dampak lingkungan dari pestisida - Wikipedia bahasa Indonesia … HEADLINE: Polusi Udara Sejumlah Negara Turun Saat Pandemi Corona … Biologi-perubahan lingkungan dan dampaknya bagi kehidupan - YouTube Power Point (Perubahan Lingkungan Fisik) BAB 9 Pencemaran Lingkungan dan Dampaknya bagi Kehidupan | Science … bagaimana dampak perubahan lingkungan bagi kehidupan manusia … Kependudukan Dan Lingkungan Hidup, Ditulis Oleh Ersa Tri Fitriasari dampak pemanasan global terhadap kesehatan Dampak Pencemaran lingkungan terhadap biota - Biomonitoring - StuDocu RPP PBL (Pencemaran Lingkungan) Dampak lingkungan dari pestisida - Wikipedia bahasa Indonesia … PENCEMARAN AIR : Pengertian, Penyebab, Dampak, Contoh PEMANASAN GLOBAL adalah: Pengertian, Penyebab, dan Dampaknya dampak perubahan lingkungan dan cara mengatasinya - Brainly.co.id Perubahan lingkungan dan dampaknya bagi kehidupan - YouTube asyifafa | asyifafa Untuk Sekolah Dasar Kelas V. Jilid 5 - PDF Download Gratis Pentingnya AMDAL Terhadap Pembangunan - Environment Indonesia Dampak Perubahan Lingkungan Yang Disebabkan Oleh Insan Terhadap … Keseimbangan & Perubahan Lingkungan | Bio-Green Pemanfaatan Alam oleh Manusia Skl 6. perubahan lingkungan dan dampaknya Inilah 5 Penyebab Pemanasan Global Akibat Ulah Manusia | merdeka.com PERUBAHAN LINGKUNGAN: Dampak Perubahan Lingkungan Terhadap … 5 Dampak Kerusakan Alam Bagi Kehidupan - DLH Kota Semarang Belajar dari Wabah Corona yang menjadi Perhatian Global. Bagaimana … Rpp upaya pelestarian lingkungan welly - [PDF Document]

Contoh Kasus Manajemen Perubahan

Perubahan Energi Apakah Yang Terjadi Pada Lampu Led Yang Menyala